当前位置:肿瘤瞭望>资讯>正文

肺癌前沿丨无论吸烟史如何,支气管扩张都会增加患肺癌的风险

作者:肿瘤瞭望   日期:2022/10/24 16:37:35  浏览量:10735

肿瘤瞭望版权所有,谢绝任何形式转载,侵犯版权者必予法律追究。

根据韩国学者最近发表在《美国胸科学会年鉴》上的研究结果,不论吸烟与否,非囊性纤维化支气管扩张的存在都会增加患肺癌的风险。

根据韩国学者最近发表在《美国胸科学会年鉴》上的研究结果,不论吸烟与否,非囊性纤维化支气管扩张的存在都会增加患肺癌的风险。
 
“目前还不清楚非囊性纤维化支气管扩张是否与独立于吸烟史的肺癌风险增加有关,因为之前的研究没有在分析中评估吸烟状况,”韩国首尔汉阳大学医学院的研究员、副教授Hayoung Choi说。“利用韩国国民健康保险服务数据中的吸烟状况信息,这项研究评估了吸烟状况对支气管扩张和肺癌发展之间关系的影响。”
 
这项基于人群的队列研究纳入3,858,422名参与者。Choi等人评估了支气管扩张患者(n=65,305)和非支气管扩张患者(n=3,793,117)的肺癌发病率,跟踪这些人群直到他们被诊断为肺癌、死亡或在2018年12月研究结束。支气管扩张患者相比无支气管扩张人群的女性更多(51.2%vs.45.6%)、年龄较大(≥60岁患者占比:47.5%vs.20.4%)、BMI更低(23.6 kg/m2±3.2 vs.23.7 kg/m2±3.2)。此外,支气管扩张患者组中更大的比例不吸烟(67.4%vs.60.1%)和患有慢性阻塞性肺病(COPD,32.9%vs.4.5%)。
 
研究发现
 
与无支气管扩张的患者相比,支气管扩张患者的肺癌发病率显著升高(2.1 vs.0.7/1000人年;P<0.001)。对潜在混杂因素和死亡竞争风险进行模型调整,结果显示支气管扩张患者发生肺癌的调整风险比为1.22(95%CI:1.14-1.3)。
 
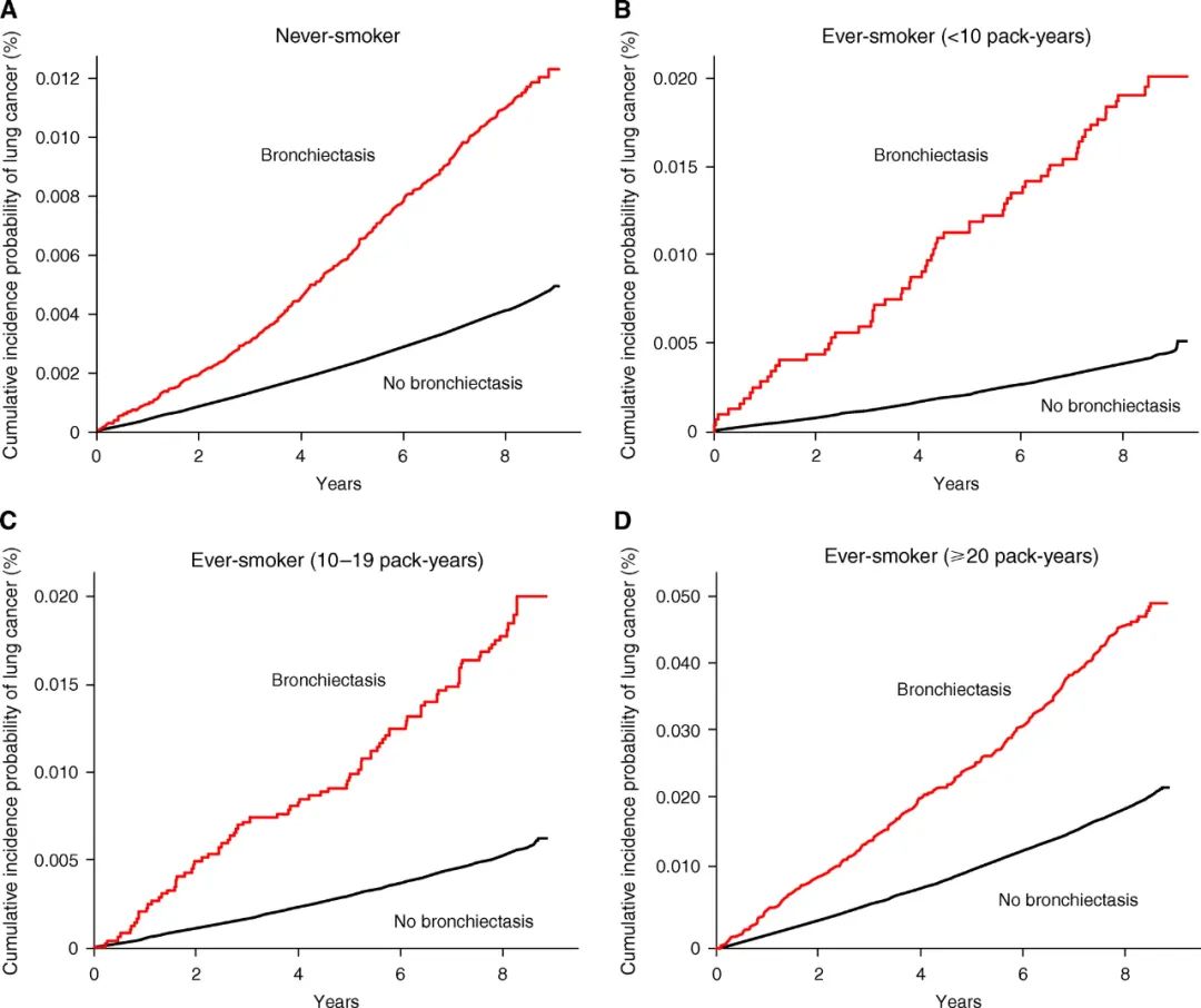
支气管扩张和无支气管扩张患者的肺癌发病率
 
不论患者的吸烟状况,支气管扩张患者与非支气管扩张患者相比发生肺癌的风险明显更高(不吸烟者:调整后HR=1.28;95%CI:1.17-1.41;长期吸烟者:aHR=1.26;95%CI:1.1-1.44)。这种关联在有≥20包/年吸烟史的曾吸烟者中持续存在(aHR=1.14;95%CI:1.03-1.26),但对吸烟<10包/年(aHR=1.23;95%CI:0.94-1.61)或10-19包/年(aHR=1.21;95%CI:0.97-1.51)的人则没有影响。
 
非吸烟和曾吸烟者中,支气管扩张对肺癌患病风险的影响
 
研究分析了慢性阻塞性肺病对支气管扩张与肺病患病关系的影响。分析发现,支气管扩张并不会增加COPD患者发生肺癌的风险(aHR=1.06;95%CI:0.97-1.16);但在无COPD患者中,支气管扩张确实增加了肺癌的风险(aHR=1.19;95%CI:1.09-1.31)。
 
支气管扩张对慢性阻塞性肺病患者发生肺癌的影响
 
Hayoung Choi总结道:“分析显示,无论吸烟史如何,支气管扩张患者患肺癌的风险都增加了,在从不吸烟者中的aHR=1.28,长期吸烟者的aHR=1.26。”这项研究有一些潜在的局限性。首先,该研究无法提供详细的临床信息;支气管扩张的病因(如肺结核等病因)可能对肺癌的发展有直接影响);肺活量测定结果和肺癌的组织学类型都不清楚。其次,尽管使用了一个全国性的大型数据库,但支气管扩张患者发展为肺癌的人数相对较少。这可能导致在一些亚组分析中达不到统计学显著性。
 
参考文献
 
Choi H,et al.Non-Cystic Fibrosis Bronchiectasis Increases the Risk of Lung Cancer Independent of Smoking Status.Ann Am Thorac Soc.2022;19(9):1551-1560.doi:10.1513/AnnalsATS.202111-1257OC

本内容仅供医学专业人士参考


肺癌

分享到: 更多